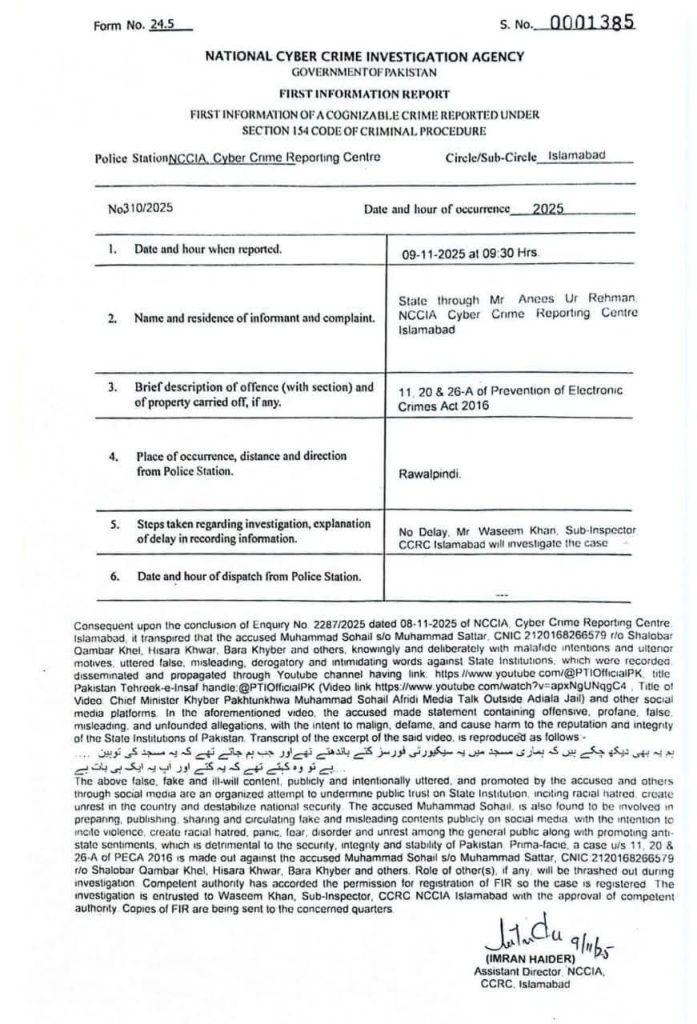
اداروں کے خلاف جھوٹا پراپیگنڈا وزیراعلی کے خلاف ایف ائی ار

اسلام اباد (کرائم رپورٹر) این سی سی آئی اے میں شہری کی شکایت پر سائبر کرائم ایکٹ کے تحت مقدمہ درج ہوا

سہیل آفریدی پر ریاستی اداروں کے خلاف نفرت، گمراہ کن معلومات، جھوٹے اور بے بنیاد بیانات پر مبنی ویڈیوز سوشل میڈیا پر پھیلانے کا الزام

سوشل میڈیا پر موجود ویڈیوز میں ریاست اور قومی سلامتی کے اداروں کی ساکھ کو نقصان پہنچانے کی کوشش کی گئی

وزیر اعلیٰ کے پی کے نے اڈیالہ جیل کے باہر ریاستی اداروں کے خلاف جھوٹ پر مبنی میڈیا ٹاک کی گئ

پی ٹی ائی کے آفیشل پیچ سے بھی ریاستی اداروں کے خلاف ویڈیو کو پھیلا یا جس کے بعد این س سی ائی اے نے ایک شہری کی درخواست پر وزیراعلی سہیل افریدی کے خلاف پیکا ایکٹ کے تحت مقدمہ درج کر لیا ہے

اپنا تبصرہ بھیجیں